不难看出这是一道典型的组合优化题,根据题意,客户希望冒着最小的风险得到最大的收益,想要做这一点,就需要数学的帮助了。同时,问题1与问题2的求解模型是一样的,那么在给出模型的求解方案后,也需要有敏锐的观察力来分析出一些弦外之声,这可能需要结合当时的政策去做一些恰当的分析了(大胆yy)。

此处笔者珍惜键盘,偷懒直接用笔者的实验报告的内容来做阐述。

多目标模型建立

根据题意,利用金额M进行投资的过程中,主要需要满足的要求有以下两个:
1、获得尽可能的大的的收益;
2、承担尽可能小的风险损失。
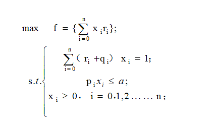
根据题目的两个要求,笔者建立了出对应双目标规划数学模型为:
在这里插入图片描述

单目标模型建立

我们不妨假设客户可以承受的最大风险率为a,则上述的双目标规划模型可以简化成建立成的单目标规划模型为:
在这里插入图片描述

此处模型建立完成后,笔者利用求解工具为matlab中的linprog函数,将问题中的相关资产数据代入其中进行求解。

问题1求解

针对问题1,可得到对应单目标规划公式:
在这里插入图片描述

在求解过程中,笔者将的求解步长定为0.001,假设投资客户的理想承担风险在0-1之间,使用逐步迭代的方式,通过matlab工具实现求得如图1所示的与f的关系图像。
在这里插入图片描述

根据图1不难看出,当投资客户的承担风险率与投资的回报率成在前一段区间成单调增的关系,当承担风险率在a=40%或以上时,客户可以获得回报率将趋于平稳且为最优,因此笔者取通过matlab求得所对应的最优解值为:
y =(0.0000 ,0.2400,0.4000 0.1091,0.2212);f=0.2019。即当在问题1条件下当客户的可承担风险率接近或大于40%时,所对应的投资组合为金额M中的24%投资资产1、40%用于投资资产2、10.91%用于投资资产3、22.1%用于投资资产4,可以得到最大为20.19%回报率。

问题2求解

针对问题2,可得到单目标规划公式:
在这里插入图片描述

这里求解方式与问题1相同,笔者不做赘述,根据问题的所给的投资资产数据,
得到如图2所示的与f的关系图像。
在这里插入图片描述

根据图2,我们可以得到f关于的变化规律,当客户的可承担风险率接近或大于60%时,可以得到的最大的回报,因此笔者取=0.6,代入模型中通过matlab求解得到:
y=(0.0000,0.0000,0.0000,0.9434,0.0000,0.0000,0.0000,0.0000,0.0000,0.0000,0.0000,0.0000,0.0000,0.0000,0.0000,0.0000);
f =0.4094;

本文主要内容为建模过程的硬核求解部分,其余分析内容,笔者做出省略,请读者自行大胆yy,模型建立求解的过程的不足之处,望读者多加指正。其中代码笔者将分享至账号CSDN主页的资源与Github中,有进一步研究需求的读者可自行移步下载。

[1]数模课程ppt
[2]陈云贤,证券投资论,北京工业大学出版社,北京,1992.
[3]程仕军,系统工程,极大化证券投资组合的投资收益率,1994.

Python 数学 线性规划 投资 收益与风险 型 I : 固定风险水平, 优化收益 型 II : 固定盈利水平, 极小化风险 型 III : 两个目标函数加权求和 市场上有 nnn 种资产 si{s_i}si​ ( i=1,2,⋯ ,ni = 1,2, \cdots ,ni=1,2,⋯,n )可以选择,现用数额为 MMM 的充分大的资金作一个时期的 投资 。这 nnn 种资产在这一时期内购买 si{s_i}si​ 的平均收益率为 ri{r_i}ri​ ,风险损失率为 qi{q_i}qi​ , 投资 越分散
(数 投资 证券: 题目:某银行经理计划用一笔资金进行有价证券 投资 ,可共购进的证券以及其信用等级,到期年限,到期税前收益如下表。按照规定,市证卷的收益可以免税,其他证卷得到收益按50%的税率纳税,此外还有以下限制: (1)政府及代办机构的证券总共至少要购进400万元; (2)所购证券的平均信用等级不超过1.4(信用等级越小,信用程度越高) (3)所购证券的平均到期年限不超过5年 问(1)若该经理由1000万元资金,应如何 投资 ? (2)如果能够以2.75%的利率借到不超过100万元资金,该经理应如何操作?
for (k = 2; k <= m; ++k) {// 从第二个阶段到最后一个阶段 for (i = 0; i <= n; ++i) { // 遍历所有的 投资 金额 t[i] = f[i];// 第k阶段初始最优解 认为是把所有金额投给第k个项目 cin >&... m 元钱,n项 投资 , fi (x): 将 x 元投入第 i 个项目的效益. 求使得总效益最大的 投资 方案。 这个 问题 是一个优化 问题 ,我们要找到一种 投资 方案( 组合 方式),这种方案就是你可以把一个钱拆开,所有的钱都是整数,把钱拆开成若干份,每一份都是大于等于0,并且是整数范围内的,所有的前的总数是不变的,所以所有的总数约束条件不变,总数不变的前提下,如何把钱分配的更加合理 三、 问题 的解是向量 < x1, x2, …, xn >, xi 是投给项目i 的钱数,i =1,
本题选自1998年全国大学生 数学 竞赛A题 例:市场上有种资产(如股票、债券、……)si(i=1,2,...,n)供 投资 者选择,某公司有数额为M的一笔相当大的资金可用作一个时期的 投资 。公司财务分析人员对这n种资产进行了评估,估算出在这一时期内购买资产si的平均收益率为ri,并预测出购买si的风险损失率为qi。考虑到 投资 越分散,总的风险越小,公司确定,当用这笔资金购买若干种资产时,总体风险可用所 投资 的si中最大的一个风险来度量。 购买si要付交易费,费率为pi,并且当购买额不超过给定ui时,交易费按购买
A题 投资 的收益和风险 市场上有n种资产(如股票、债券、…)Si ( i=1,…n) 供 投资 者选择,某公司有数额为M的一笔相当大的资金可用作一个时期的 投资 。公司财务分析人员对这n种资产进行 了评估,估算出在这一时期内购买Si的平均收益率为ri,并预测出购买Si的风险损失率为qi。考虑到 投资 越分散,总的风险越小,公司确定,当用这笔资金购买若干种资产时,总体风险可用所 投资 的Si中最大的一个风险来度量。 购买Si要付交易费,费率为pi,并且当购买额不超过给定值ui时,交易费按购买ui计算(不买当然无须付费)。另外,假定同期银行存款利率是ro, 且既无交易费又无风险。(ro=5%)
minmax 数学 是一种优化方法,它旨在寻找一个决策变量的最佳取值,以最小化或最大化一个目标函数。这种 方法通常用于解决决策 问题 ,例如制定最佳 投资 组合 、资源分配、路径规划等。 在minmax 中,我们首先定义一个目标函数,希望将其最小化或最大化。然后,我们确定一组约束条件,以限制决策变量的取值范围或相关关系。接下来,我们将 问题 转化为一个 数学 表达式,通过对决策变量和目标函数进行合理的 数学 操作来达到最优解。 minmax 型的一种常见形式是线性规划 问题 。在线性规划中,目标函数和约束条件都是线性的,通过线性规划算法可以高效地求解最优解。另一种形式是非线性规划 问题 ,其中目标函数或者约束条件中包含非线性关系,需要使用更复杂的算法来求解。 minmax 数学 的优点是可以将实际 问题 转化为 数学 问题 ,并确定一个全局最优解。它在实际应用中具有广泛的适用性,可以解决各种决策 问题 。然而,minmax 也有一些局限性,例如可能存在多个最优解或者求解复杂度较高。 总之,minmax 数学 是一种重要的优化方法,通过将实际 问题 转化为 数学 问题 ,并使用相应求解算法,可以寻找到一个决策变量的最佳取值,从而优化目标函数的结果。它在决策 问题 中具有广泛的应用,并为我们提供了一种有效的 问题 求解思路。