gre sub math易忘知识点整理
微积分
圆锥曲线 https:// wenku.baidu.com/view/5a e83f2010a6f524ccbf853f.html
































线性代数:


初等数论





艾森斯坦判别法


实变函数
勒贝格测度

可测集

测度为零的可测集为零测集。空集、有限集、可数集皆为零测集。
σ-代数 :

测度

可测函数 是 可测空间 之间的保持(可测集合)结构的 函数 ,也是 勒贝格积分 或实分析中主要讨论的函数。 数学分析 中的不可测函数一般视为病态的。

勒贝格积分 https:// zh.wikipedia.org/wiki/% E5%8B%92%E8%B2%9D%E6%A0%BC%E7%A9%8D%E5%88%86
复变函数


调和共轭Harmonic conjugate

洛朗级数 https:// zh.wikipedia.org/wiki/% E6%B4%9B%E6%9C%97%E7%BA%A7%E6%95%B0
柯西积分定理

留数及其计算 https:// zh.wikipedia.org/wiki/% E7%95%99%E6%95%B0
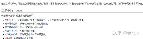
拓扑学
邻域及邻域系统 https:// zh.wikipedia.org/wiki/% E9%82%BB%E5%9F%9F
可数性公理


