因式分解常用方法汇总

因式分解常用方法汇总

2 年前 · 来自专栏 高中自主招生

前两天做题遇到一道关于因式分解的题目:

因式分解: \left(x^{2}+3 x+2\right)\left(4 x^{2}+8 x+3\right)-90

刚看到这道题觉得很简单,通过简单的运算可知:

\left(x^{2}+3 x+2\right)\left(4 x^{2}+8 x+3\right)-90=4x^4+20x^3+35x^2+25x-84

因为自己脑海中浮现出来的就是因子定理,如果我能找到一个常数 c 使得上述代数式为0,那么就找到了其中的因子,接着就可以降次继续找了。心里想的很美,然后第一个因子也找的很快,把1带入就等于0。于是,它含有一个因子 (x-1) 再用一下长除法,可知:

4 x^{4}+20 x^{3}+35 x^{2}+25 x-84=(x-1)(4x^3+24x^2+59x+84)

额...接下去要找 4 x^{3}+24 x^{2}+59 x+84=0 的根,感觉要用一下试根法(rational root test)。所以我硬着头皮找了一下,没找两个就想这个要是考试不就凉凉了。所以肯定是有好的方法的。因此,就简单回忆了一下因式分解的常用方法:

1.提公因式法
2.公式法
3.十字相乘法(双十字相乘法)
4.待定系数法
5.求根法
6.分组分解法

一、提公因式法

这种方法是最简单的,如果看到多项式中有公因子,不管三七二十一,先提取一个公因子再说,因为这样整个问题就被简化了,有点类似我们刚提到的利用因子定理进行因式分解。

例题:
因式分解下列多项式:
(1) x^{3} y-x y^{3}=xy(x^2-y^2)=xy(x+y)(x-y) ;
(2) 3x^3-18x^2+27x=3x(x^2-6x+9)=3x(x-3)^2 ;
(3) 3a^3+6a^2b-3a^2c-6abc=3a(a^2+2ab-ac-2bc)
=3a[a(a-c)+2b(a-c)]=3a(a+2b)(a-c) .

二、公式法

因式分解是把一个多项式化为几个最简整式的乘积的形式,是整式乘积的逆运算,所以如果我们熟悉整式乘积的公式,那么解决因式分解也会很快。

常用的公式如下:

\begin{array}{l} (x+a)(x+b)=x^{2}+(a+b) x+a b \\ (a \pm b)^{2}=a^{2} \pm 2 a b+b^{2} \\ (a \pm b)^{3}=a^{3} \pm 3 a^{2} b+3 a b^{2} \pm b^{3} \\ a^{2}-b^{2}=(a-b)(a+b) \\ a^{3} - b^{3}=(a - b)\left(a^{2}+a b+b^{2}\right)\\ a^{3} + b^{3}=(a + b)\left(a^{2}-a b+b^{2}\right)\\(a+b+c)^{2}=a^{2}+b^{2}+c^{2}+2 a b+2 b c+2 c a\\ a^{3}+b^{3}+c^{3}-3 a b c=(a+b+c)\left(a^{2}+b^{2}+c^{2}-a b-b c-c a\right) \end{array}

还有两个常考的 n 次方展开的公式:

\begin{array}{l} a^{n}-b^{n}=(a-b)\left(a^{n-1}+a^{n-2} b+a^{n-3} b^{2}+\cdots+a b^{n-2}+b^{n-1}\right) (n\in Z^+)\\ a^{n}+b^{n}=(a+b)\left(a^{n-1}-a^{n-2} b+a^{n-3} b^{2}-\cdots-a b^{n-2}+b^{n-1}\right)(\text{n is odd}) \end{array}

例题:
因式分解: \left(a^{2}+b^{2}-1\right)^{2}-4 a^{2} b^{2}
=(a^2+b^2-1+2ab)(a^2+b^2-1-2ab)
=[(a+b)^2-1][(a-b)^2-1]
=(a+b+1)(a+b-1)(a-b+1)(a-b-1)

三、十字相乘法(双十字相乘法)

简单的十字相乘其实就是公式 (x+a)(x+b)=x^2+(a+b)x+ab 的运用,这个大家都很熟悉,还有一句口诀:首尾分解,交叉相乘,求和凑中。熟练的时候也不会想什么口诀,就这样做下来了。

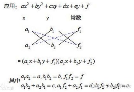
比十字相乘法再进一步的还有 双十字相乘法 ,这种方法适用的是型如: A x^{2}+B x y+C y^{2}+D x+E y+F 的多项式,方法的原理如下图

图:双十字相乘法示意图(来自百度百科)

利用双十字分解法的步骤就是

1.先用十字相乘法分解 a x^{2}+b x y+c y^{2} ,得到 a_1,a_2,b_1,b_2 ;
2.把常数项 f 进行拆分得到 f_1,f_2 ,使得 a_1f_2+a_2f_1=d,b_1f_2b_2f_1=e ;
3.最后就得到了 a x^{2}+b y^{2}+c x y+d x+e y+f=\left(a_{1} x+b_{1} y+f_{1}\right)\left(a_{2} x+b_{2} y+f_{2}\right) .

看着有点复杂吗?那么来一道例题好了

例题:
因式分解: 2 x^{2}-7 x y-22 y^{2}-5 x+35 y-3
首先考虑 2 x^{2}-7 x y-22 y^{2}=(x+2y)(2x-11y)
然后考虑 -3 分解,使得 x,2x 2y,-11y 分别交叉相乘得到 -5x,35y 。这个还是比较容易的,很快就能发视 -3=-3\times 1 就可以了。
最后可知:
2 x^{2}-7 x y-22 y^{2}-5 x+35 y-3=(x+2 y-3)(2 x-11 y+1)

四、待定系数法

待定系数法,肯定就是设未知数然后去解方程,比如分解如下多项式: x^{3}-4 x^{2}+2 x+1 ,是一个一元三次多项式,一般分解肯定是一个一次多项式乘以一个二次多项式,所以不妨设:

x^{3}-4 x^{2}+2 x+1=(x+a)(x^2+bx+c)

如果多项式相等,那么两个多项式每一项前对应的系数相等,所以所以我们就可以得到关于 a,b,c 的三个方程,接着求解出来就可以了。 最后可知: x^{3}-4 x^{2}+2 x+1=(x-1)\left(x^{2}-3 x-1\right)

其实前面的双十字相乘法中,如果我们不知道如何拆分 f ,那么就可以用待定系数的方法,不妨设 f=f_1\cdot f_2 ,然后通过解方程的方法去求解 f_1,f_2 .

再来一道题看看

例题:
因式分解: x^{2}+3 x y+2 y^{2}+4 x+5 y+3
由于 \left(x^{2}+3 x y+2 y^{2}\right)=(x+2 y)(x+y)
不妨设两个一次项分别为 (x+2 y+m),(x+y+n)
于是:
x^{2}+3 x y+2 y^{2}+4 x+5 y+3=x^{2}+3 x y+2 y^{2}+(m+n) x+(m+2 n) y+m n
比较对应系数可知, m=3,n=1
所以,
x^{2}+3 x y+2 y^{2}+4 x+5 y+3=(x+2 y+3)(x+y+1) .

五、求根法

求根法其实就是我最开始想到的方法,基于的就是因式定理:

a 是一元多项式 f(x) 的根,即 f(a)=0 成立,则多项式 f(x) 有一个因式 (x-a) .

所以面对一个多项式,我们只要找到一个常数使得多项式为0,那么我们就能够把原本的多项式次数降下来。看到例题就明白了:

例题:
因式分解: x^{3}-4 x^{2}+6 x-4
这里尝试发现 2^{3}-4 \times 2^{2}+6 \times 2-4=0 ,所以必有一个因子 (x-2) ,再根据长除法可知:
x^{3}-4 x^{2}+6 x-4=(x-2)\left(x^{2}-2 x+2\right) .

六、分组分解法

分组分解一看这个名字就知道是要把多项式进行分组,然后提取出公因子,从而达到因式分解的目的。但是分组分解法有的时候没那么容易看出来,可能需要一点感觉。

我们利用分组分解法再来做一下上面的例题,

例题:
(1)因式分解: x^{3}-4 x^{2}+6 x-4
\begin{array}{l} =\left(x^{3}-2 x^{2}\right)-\left(2 x^{2}-4 x\right)+(2 x-4) \\ =x^{2}(x-2)-2 x(x-2)+2(x-2) \\ =(x-2)\left(x^{2}-2 x+2\right) \end{array}
(2)因式分解: 9 x^{4}-3 x^{3}+7 x^{2}-3 x-2
\begin{array}{l} =9 x^{4}-3 x^{3}-2 x^{2}+9 x^{2}-3 x-2 \\ =x^{2}\left(9 x^{3}-3 x-2\right)+9 x^{2}-3 x-2 \\ =\left(9 x^{2}-3 x-2\right)\left(x^{2}+1\right) \\ =(3 x+1)(3 x-2)\left(x^{2}+1\right) \end{array}

那么回过头来我们再看看最开始的那道题:

因式分解: \left(x^{2}+3 x+2\right)\left(4 x^{2}+8 x+3\right)-90

【详解】

\begin{array}{l} =4 x^{4}+20 x^{3}+35 x^{2}+25 x-84\\ =(2x^2)^2+2\cdot2x^2\cdot 5x+(5x)^2+10x^2+25x-84\\ =(2x^2+5x)^2+10x^2+25x-84\\ =(2x^2+5x)^2+5\cdot(2x^2+5x)-84\\ (2x^2+5x+12)(2x^2+5x-7). \end{array}

这道题我用的方法是分组分解法和公式法,刚开始想用换元令 y=x^2 再用双十字相乘法,但是没有算出来。不知道还有没有更好的方法,欢迎交流讨论~

非常感谢知友 @张锦州 提供的方法:

\begin{array}{l} =(x+1)(x+2)(2x+1)(2x+3)-90\\ =[(x+1)(2x+3)]\cdot[(x+2)(2x+1)]-90\\ =(2x^2+5x+3)(2x^2+5x+2)-90 \end{array}
t=2x^2+5x+3
于是
\begin{array}{l} =t(t-1)-90\\ =t^2-t-90\\ =(t-10)(t+9) \end{array}
因此, \left(x^{2}+3 x+2\right)\left(4 x^{2}+8 x+3\right)-90=\left(2 x^{2}+5 x+12\right)\left(2 x^{2}+5 x-7\right) .

哈哈,估计出题者就是想这么考的~

想了解更多关于初中数学竞赛及高中自主招生的数学知识,可参阅:

编辑于 2020-08-25 17:27

文章被以下专栏收录

    高中自主招生

    高中自主招生

    初中数学竞赛、高中自主招生数学试题分享