第四章:电路定理(1)

今天,我们就一起来学习第四章电路定理,这一章小编也是分成了两个部分来进行讲解。第一本部分介绍我们之前就说过的一个重点知识“叠加定理”,然后就是替代定理,这个一般很少去用。第二部分就是一个重难点“戴维宁定理和诺顿定理”,这个确实挺让人头疼的,最后一个知识点就是最大功率传输定理了,这个和高中物理上学的那个最大功率有点像。

可能有人会问了,第四章可不止这些啊,后面还有什么“特勒根定理”、“互易定理”、“对偶定理”呢,为什么不讲呢。这个本科阶段是不说的,如果有考研考电路的同学就得看看了,因为考研会考到,这里就不给大家介绍了,大家可以自己去搜集一些资料进行学习。

话不多说,上干货!!!

一、叠加定理

之前忘了是在哪一节和大家简单介绍这个知识点了,这个叠加定理就是电路里的电压源(电流源)单独作用时对应的电路状态参数,然后相加即可。

使用叠加定理的应注意的事项:

1、叠加定理只是用于线性电路,不能用在非线性电路;

2、分开处理时,电压源做短路,电流源做断路;

3、代数和时一定要注意“+”,“-”号,千万别搞错了;

4、功率可不能叠加,因为功率与电压之间是非线性关系。

肯定就有兄弟产生疑问了,什么是线性电路,什么是非线性电路。

在说这个之前先说说线性元件和非线性元件吧。

线性元件:元件的参数与通过的电流或两端电压无关;比如电阻,电容,电感。

非线性元件:元件参数和通过的电流或者两端电压有关;比如二极管,三极管,场效应管。

那么线性电路和非线性电路你就懂了是什么了吧,不就是电路里有没有这个元件呗。

但是现阶段我们电路里学习的都是线性电路。

看个题目吧

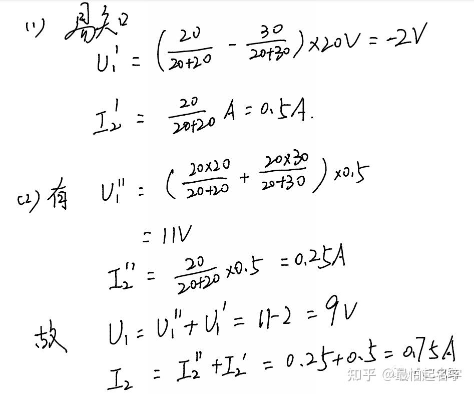
例:用叠加定理计算下图所示电路中的U1和I2。

可能有的同学会被那条导线误导,其实就是公共点呗,我画了个等效图。这样就更好理解了。

二、替代定理

大致内容是这样的,下面的电路图里,NA和NB两个一端口网络里,其端口电压和电流分别为u和i,那么,就可以用一个电压源或者电流源来替代其中的一个网络,大小就是u和i。

替代定理不仅适用于线性电路,非线性电路也可以。

这多用来简化电路,使之便于分析和计算,但是我们去实际做题的时候,可能根本就不会去用它,因为替代的前提是得知道这个支路两端的电压和电流大小,还是得去计算的,也方便不到哪去,知道有这个东西就行了。除非有那种特定要求要你用替代定理去算,我们再去研究它。

我们简单看个例题

例:中间10Ω的电阻进行替代其他电路。

可以替换成电压源,也可以替换成电流源。

好了今天的内容就到这里,我们下期再见。

—END—

小编:小二电路

发布于 2022-01-21 16:54